الأربعاء، 1 يوليو 2020

حل معادلة من الدرجة الثانية بطريقة المميز

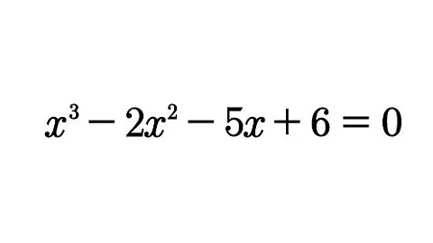
حل معادلة من الدرجة الثانية بطريقة المميز. تصادفنا الكثير من المعادلات التي يصعب حلها باستخدام التحليل وقد تأخذ منا وقتا أطول من اللازم في حلها بإكمال المربع ,مثل المعادلة التالية : تحليل معادلة من الدرجة الثالثة.

معادلة تكعيبية ويكيبيديا
معادلة تكعيبية ويكيبيديا from wikimedia.org
المعادلة التربيعية او المعادلة من الدرجة الثانية يمكن حلها بإستخدام طريقتين, الطريقة الاولى من خلال القانون العام و الطريقة الثانية باستخدام إكمال المربع. عبد الرحمن عبد البارى 5 год. أهم الحالات الخاصة هي المعادلة التي لها عدد لا نهائي من الحلول أو لا يوجد لها حل.

الدوري المصري الدرجة الثانية 2019/2020.

تحليل معادلة من الدرجة الثالثة. قم بإنشاء مجموعات من أفضل مشاركاتك. This is شرح التمرين 8 حل معادلة من الدرجة الأولى بمجهولين للمستوى الثانية إعدا by الرياضيات للثاني on vimeo, the home for high quality videos and the… Mrelmasry shared this question 9 years ago.


ليست هناك تعليقات:

إرسال تعليق

Iklan Atas Artikel

Iklan Tengah Artikel 1

Iklan Tengah Artikel 2

Iklan Bawah Artikel